E-619 Hochleistungsverstärker für Piezoaktoren
Modulares System für dynamische Daueranwendungen
- Spitzenleistung bis 1200 W
- Hohe Ströme bis 10 A
- Geringer Stromverbrauch durch integrierte Energierückgewinnung
- Bandbreite bis 20 kHz für hochdynamische Anwendungen
- Schützt Piezoaktoren mit Temperatursensor vor Überhitzung
- Erweiterbar um Regelung und digitale Schnittstellen
Hochleistungsverstärker für Piezoaktoren
Hoher Spitzenstrom, >5 A Dauerstrom. Hohe Bandbreite für hohe Dynamik. Geeignet für PICMA®-Piezoaktoren mit Sonderelektroden. Ausgangsspannung -30 bis 130 V. Analoge Ansteuerung. Auswertung eines Temperatursensors schützt den Piezoaktor vor Überhitzung
Hoher Wirkungsgrad
Geschalteter Klasse-D-Verstärker mit kapazitivem Speicher zur Energierückgewinnung. Geringere Beeinflussung der Anwendung dank reduzierter Wärmeabgabe
Erweiterbar zum Servocontroller
Optionales Regelmodul für Nanopositioniersysteme mit integrierten Positionssensoren (DMS, kapazitiv). Optionales Schnittstellenmodul mit Funktionsgenerator, Datenrekorder, digitalen Schnittstellen (TCP/IP, USB, RS-232, SPI). Optionaler Treibersatz zur Verwendung mit D/A-Wandlerkarten von National Instruments und NI LabVIEW-Software
Einsatzgebiete
Maschinenbau: Zustellen mit hoher Dynamik, Schwingungsdämpfung, Unrundschleifen, Ventilsteuerung, Materialprüfung, Testeinrichtungen
Hochdynamische Kippspiegel-Anwendungen
Spezifikationen
Spezifikationen
Verstärker | E-619.H / E-619.00 | E-619.S |
|---|---|---|
Eingangsspannungsbereich | -2 bis 12 V | - |
Ausgangsspannung | -30 bis 130 V | 100 V |
Spitzenausgangsleistung (<5 ms) | 1200 W | 1200 W |
Dauerausgangsleistung (>5 ms) | Entspricht bis zu 800 VA Blindleistung | Entspricht bis zu 800 VA Blindleistung |
Spitzenstrom (<5 ms) | 10 A | 10 A |
Dauerausgangsstrom (>5 ms) | >5 A | >5 A |
Strombegrenzung | Kurzschlussfest | Kurzschlussfest |
Spannungsverstärkung | 10 ±0,1 | - |
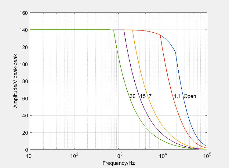
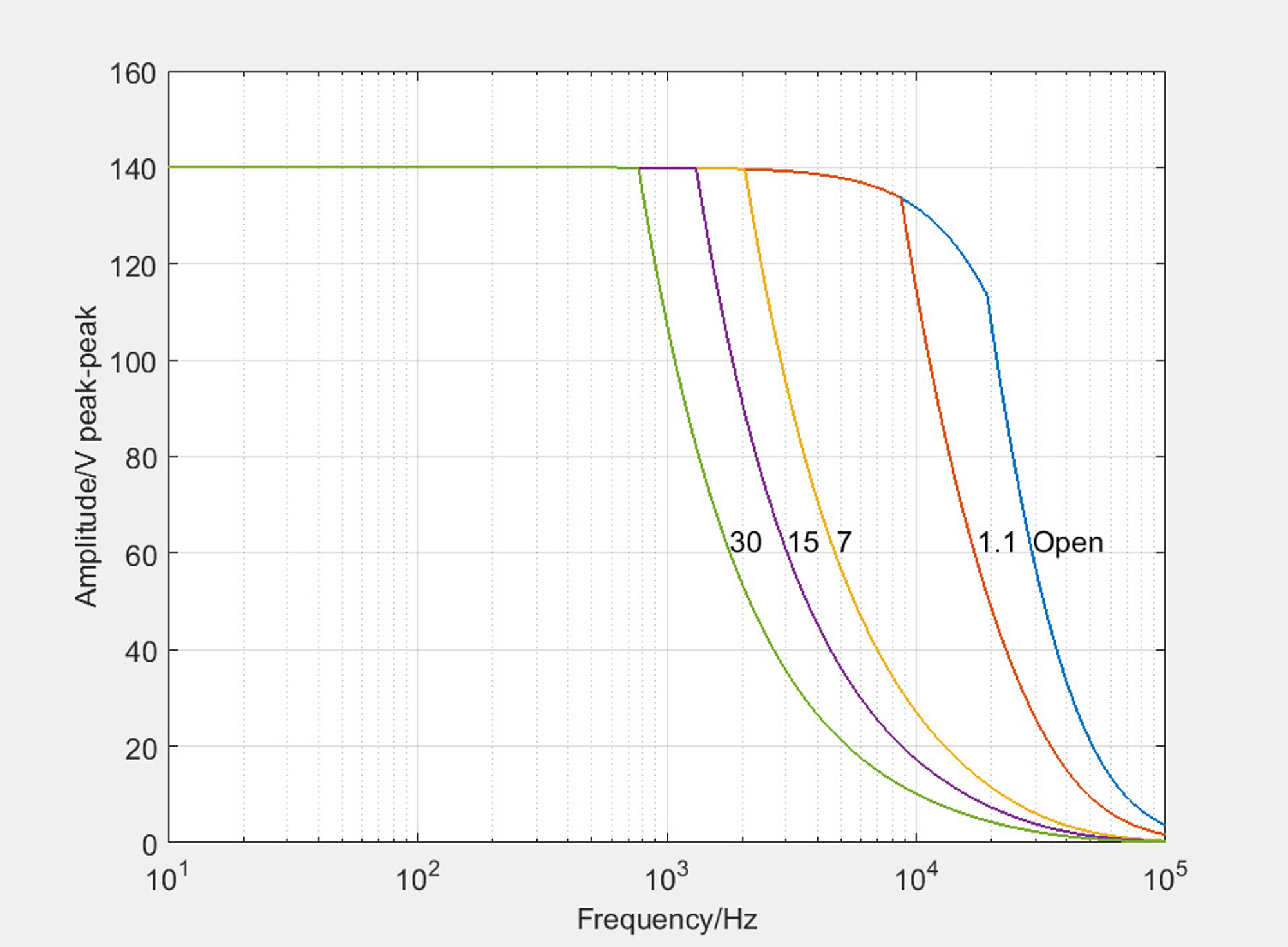
Bandbreite Kleinsignal | 20 kHz / 3 kHz | - |
Welligkeit, Rauschen, 0 bis 10 kHz | <2 mVrms | <2 mVrms |
Kapazitive Grundlast (intern) | 2 µF / 1 µF | 2 µF |
Empfohlene Piezolast | >1 µF | >1 µF |
Ausgangsimpedanz | 0,1 Ω; 53 µH; 2 µF / 0,1 Ω; 1 mH; 1 µF | 0,1 Ω; 53 µH; 2 µF |
Verstärkerauflösung | <2 mV | <2 mV |
Verstärkerprinzip | Class D, geschaltet 400 kHz / 100 kHz | Class D, geschaltet 400 kHz |
Eingangsimpedanz | 100 kΩ | - |
Schnittstellen und Bedienung | E-619.H, E-619.00 | E-619.S |
|---|---|---|
Piezoanschluss | LEMO EGG.1B.302.CLL, mit Sicherheitsabdeckung | LEMO EGG.1B.302.CLL, mit Sicherheitsabdeckung |
Analogeingang | SMB | - |
Temperatursensor (Piezoaktor) | PT 1000; LEMO FFA.OS.303.CLAC32 Abschaltung des Spannungsausgangs bei 150 °C | - |
Display und Anzeigen | LEDs für Power, Temp Overflow | LED für Power |
DC-Offset-Einstellung | 10-Gang-Potentiometer, addiert 0 bis 10 V zur Eingangsspannung | - |
Umgebung | E-619.H, E-619.00, E-619.S | E-619.R1 / E-619.R3 |
|---|---|---|
Betriebsspannung | Versorgung durch Gehäuse E-619 | 100 - 240 V~, 50 - 60 Hz |
Max. Leistungsaufnahme Volllast | <150 W | 150 VA / 360 VA |
Max. Leistungsaufnahme ohne Last | 20 W | 30 VA / 80 VA |
Betriebstemperaturbereich | 5 bis 40 °C | 5 bis 40 °C |
Masse | 3.5 kg | 10 kg / 18 kg |
Abmessungen | 21 HP/3 U | 236 × 132 × 296 mm (ohne Griffe) / |
Downloads
Datenblatt
Dokumentation
Benutzerhandbuch PZ288
E-619 modulares Hochleistungsverstärker-System für dynamische Daueranwendungen
Angebot / Bestellung
Fordern Sie ein unverbindliches Angebot über gewünschte Stückzahlen, Preise und Lieferzeiten an oder beschreiben Sie Ihre gewünschte Modifikation.
Optionale Erweiterungen
Angebot anfordern
Fragen Sie den Fachmann!
Erhalten Sie innerhalb kürzester Zeit per E-Mail oder Telefon eine Rückmeldung zu Ihren Fragen von einem PI Vertriebsingenieur.

















